Relates to ZO Coimbatore Revised Higher Pension List
Search Your Name In Higher Pension List, Full List Given Below
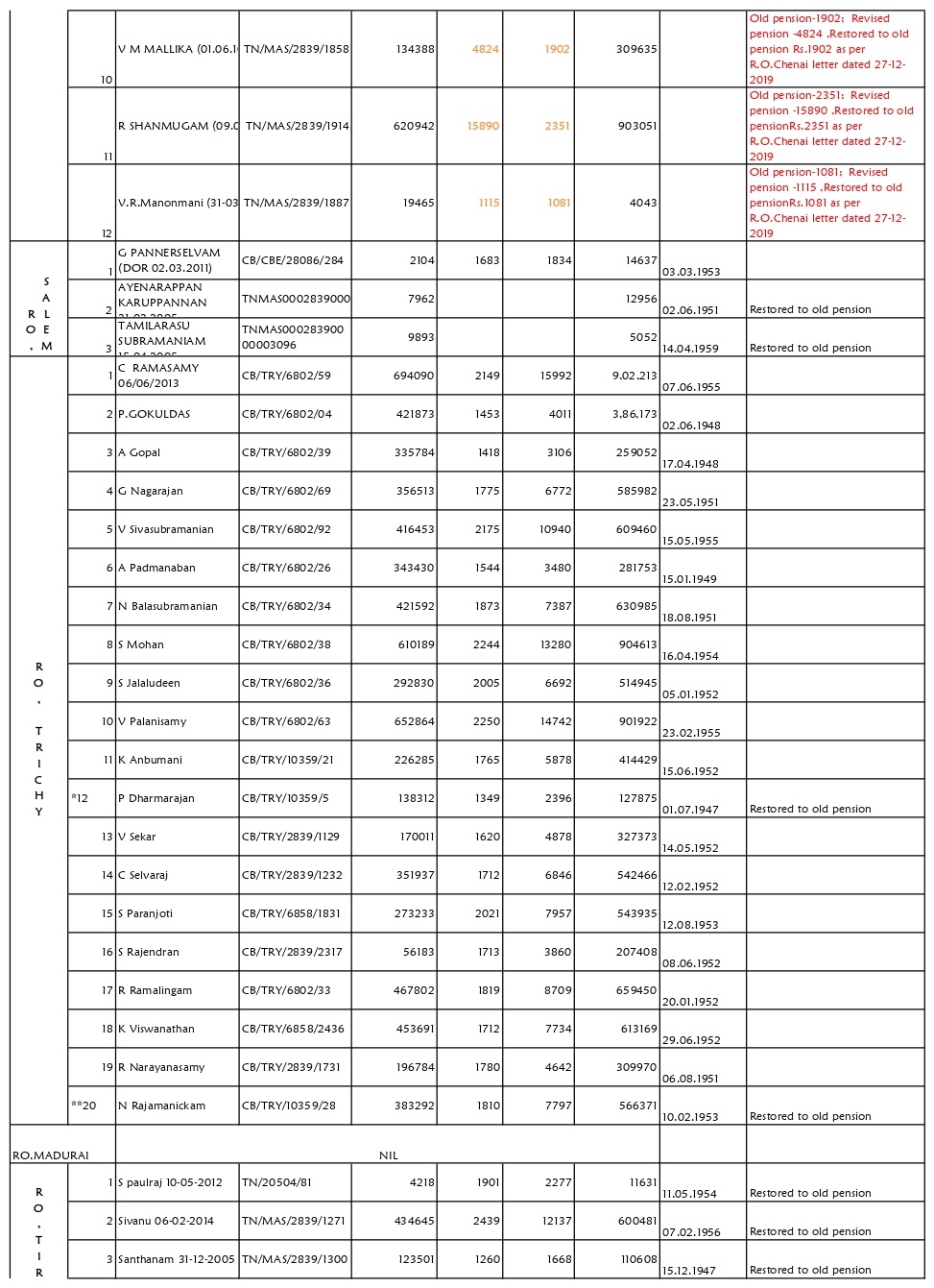
In this article we are going to see the revised EPS 95 Higher Pension list of RO, Coimbatore which is obtained by RTI. The RTI details and revised list given below.
Your kind aenon is invited towards the following provisions as contained in the RTI Act, 2005 for strict compliance by all public authorities
a) Section 8(j) wherein it has been provided that THE INFORMATION WHICH CANNOT BE DENIED TO THE PARLIAMENT OR A STATE LEGISLATURE SHALL NOT BE DENIED TO ANY PERSON
b) Section 4(4) wherein it has been provided that all material shall be disseminated taking into consideration the cost effectiveness and to the extent possible in electronic format
c) Section 7(9) wherein it has been provided that an information shall ordinarily be provided in the form in which it is sought
d) Section 2(j)(iv) wherein it has been provided that applicants have a right to obtain information as stored in a computer or in any other device
1. So copy (in available format) of the latest/up-to-date RO wise Consolidated list containing details of all sealed cases of PENSION REVISION on Higher Pension REPEAT Consolidated list containing details of all sealed cases of PENSION REVISION on Higher Pension as sent by Zonal Office to Head Office in r/o all the ROs under the jurisdiction of Zonal Office
2. So copy (in available format) of the latest/up-to-date RO wise Consolidated list containing details of
all seled cases of PENSION REVISION on Higher Pension as available with Zonal Office
3. Total Number of Cases of Pension Revision (RO Wise) seled in r/o Pensioners rered from UNEXEMPTED Establishments ll date
- In compliance of HQ circular dt. 23.3.2017 (Pre-1.9.2014 rerees)
- In compliance of HQ circular dt. 23.3.2017 (Post-1.9.2014 rerees)
- In compliance of orders of various Courts (Pre-1.9.2014 rerees)
- In compliance of orders of various Courts (Post-1.9.2014 rerees)
4. Total Number of Cases of Pension Revision (RO Wise) seled in r/o Pensioners rered from
EXEMPTED Establishments ll date
- In compliance of HQ circular dt. 23.3.2017 (Pre-1.9.2014 rerees)
- In compliance of HQ circular dt. 23.3.2017 (Post-1.9.2014 rerees)
- In compliance of orders of various Courts (Pre-1.9.2014 rerees)
- In compliance of orders of various Courts (Post-1.9.2014 rerees)
5. So copy (in available format) of the latest/up-to-date RO wise Consolidated list containing details of
all COURT cases disposed of/pending cases regarding Higher Pension as sent by Zonal Office to Head
Office in r/o all the ROs under the jurisdicon of Zonal Office
- Up-to-date list of Disposed of Court cases
- Up-to-date list of Pending Court cases
CLICK BELOW LINK TO DOWNLOAD PDF ON REVISED PENSION LIST
















0 Comments